昭通最新公告,公开征集乱收费、乱罚款等旅游乱象问题线索
来源:昭通日报2025-08-05

云上融媒新媒体中心发布
昆明市西山区农村信用合作联社
贷记卡债权催收公告
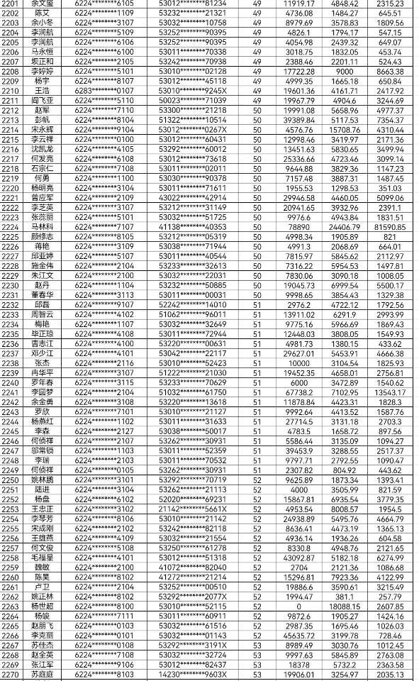
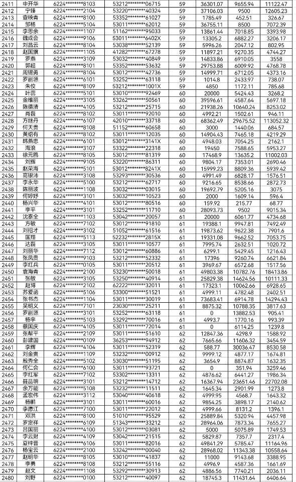
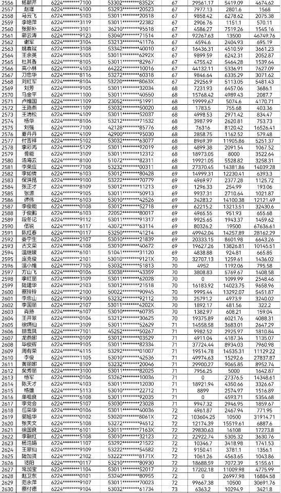
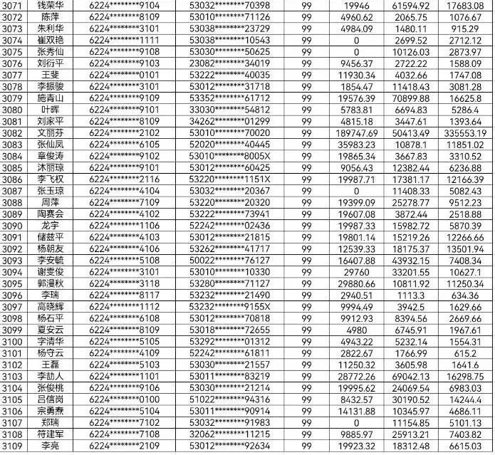
1.昆明市西山区农村信用合作联社(以下简称“我社”)现对以下持我社贷记卡的持卡人所持贷记卡项下的欠款(包括本金、所产生的利息及费用等)进行公告催收。
2.本公告所称贷记卡均为昆明市西山区农村信用合作联社发行的贷记卡。本催收公告中所列的欠款金额系依照《云南省农村信用社金碧贷记卡章程》、《云南省农村信用社金碧贷记卡领用合约》及中国人民银行的相关规定计算,截至2025年1月26日的欠款金额(本金利息金额可向我社查询)。请以下持卡人在本公告发布之日起15日内向我社履行还款义务。本公告中的欠款金额如存在刊登错误,以最终核对的金额为准。
3.为防止各持卡人的相关个人信息泄露,造成或引发某些不良影响,本公告所载证件号码、卡号等信息均只公示、显示部分,我社对此采取的保密措施并不影响我社在本公告中对各持卡人欠款催收的效力及债权的主张。持卡人可通过已显示的有限信息确认本人信息,可拨打贷记卡背面客服电话进一步确认欠款(债务)情况。
特此公告。
昆明市西山区农村信用合作联社
2025年6月25日












































