昆明信息港
彩龙社区
昆明
民生服务
正文
民生服务
出行
财经
教育
健康
文化
旅游
招聘
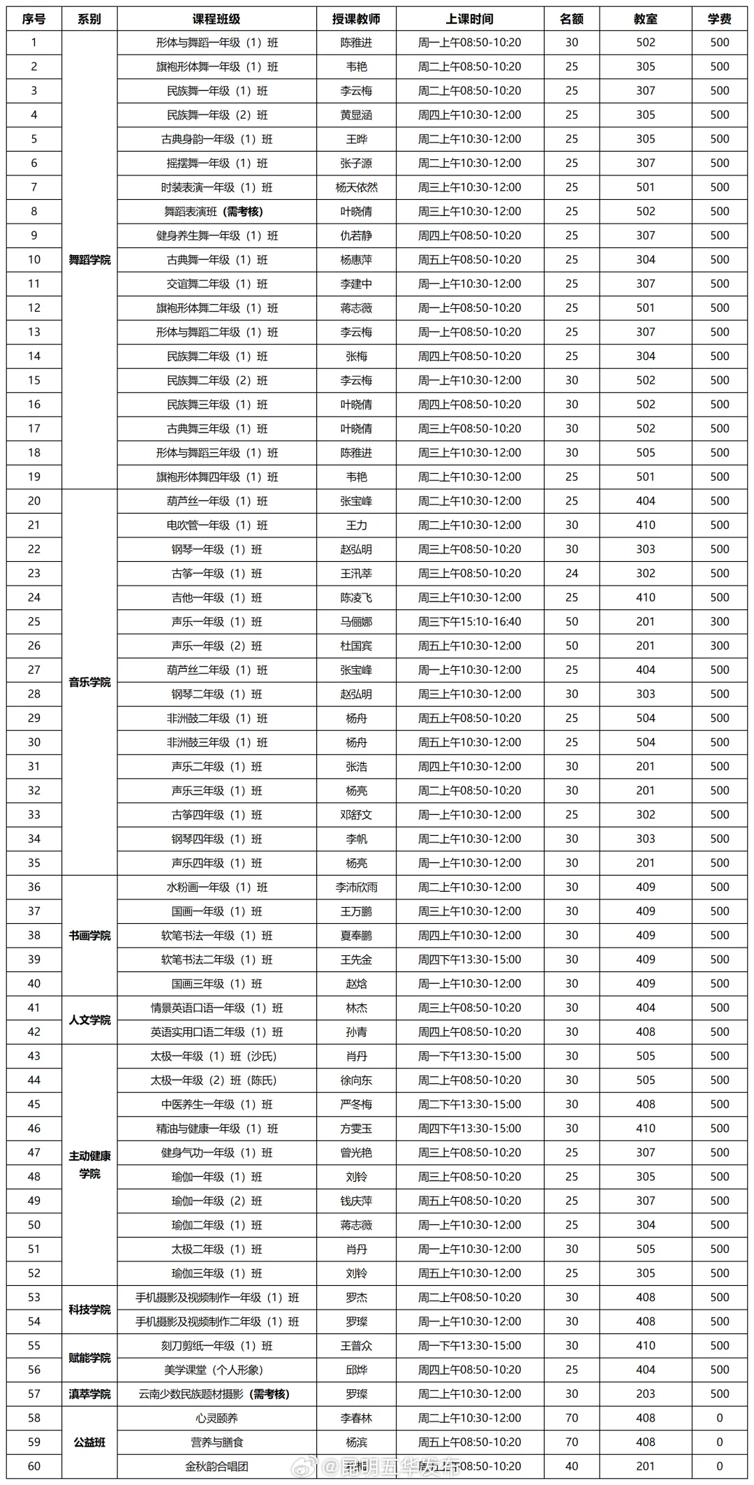
云南老年开放大学2025年春季招生简章
2025-01-02 15:10
来源:昆明五华发布
上一篇
昆明市国有建设用地使用权网上拍卖出让公告(KCC2023-5号地块)
来源:昆明市自然资源和规划局
2025-01-02
下一篇
奋楫向前 高质量发展阔步行——2024年中国人寿保险股份有限公司发展回望
8月30日,位于北京金融街的中国人寿广场,中国人寿保险股份有限公司(以下简称“中国人寿寿险公司”)正如期举办中期业绩发布会。面对我国经济长期向好的基本面,该公司对高质量发展饱含殷切期待,也透着自信从容。
来源:资讯频道
2024-12-31
云南老年开放大学(国家老年大学云南分部)2025年春季招生简章发布啦!新学期有什么新课程?让我们下滑页面一起来看看吧!#五华教育#
网页链接
本文由昆明信息港机器人小明转载自"昆明五华发布"
广告热线: (0871)65364045 新闻热线: (0871)65390101
24小时网站违法和不良信息举报电话: 0871-65390101 举报邮箱: 2779967946@qq.com
互联网新闻信息服务许可证: 53120170004
增值电信业务经营许可证(ICP): 滇B2-20090009