咱家这些家伙事儿自带安全感
来源:人民网2024-08-01


古城警方
7月19日
古城公安分局古城派出所接到群众报警
“这里有个小孩迷路了
一个人在这里哭”
值班民辅警立即赶往
七一街兴文巷
在某便利店内找到了
迷路的小孩

民辅警将小孩带回派出所
一边安抚情绪
一边调取视频监控
查找相关信息
很快便联系到孩子的母亲
孩子母亲不停地向民警表示感谢
临走前
民警不忘叮嘱家长照看好孩子
交警变身“修理工”
近日
古城分局交警大队事故二中队巡逻警员
在民航路巡逻时
发现一辆轻型货车
因轮胎漏气抛锚在路边
巡逻警员
立即上前了解情况
并做好安全防护措施

由于驾驶员
对更换轮胎操作不熟练
巡逻警员立即化身“修理工”
一气呵成
很快便换好了轮胎
驾驶员对巡逻警员的
及时救助、热情服务
连声道谢
两所联动,及时救助迷路老人
7月20日
古城分局金山派出所接到群众报警称
有一老人在凯瑞园附近徘徊
疑似迷路
值班民辅警立即前往找到老人
并将其接回所内提供餐食

及时核实老人身份
发现老人系
西安派出所接到的
一起走失类求助警情
所寻之人
及时联系家属将老人接走
得知老人在所内受到悉心照顾
临走前家属连连称谢
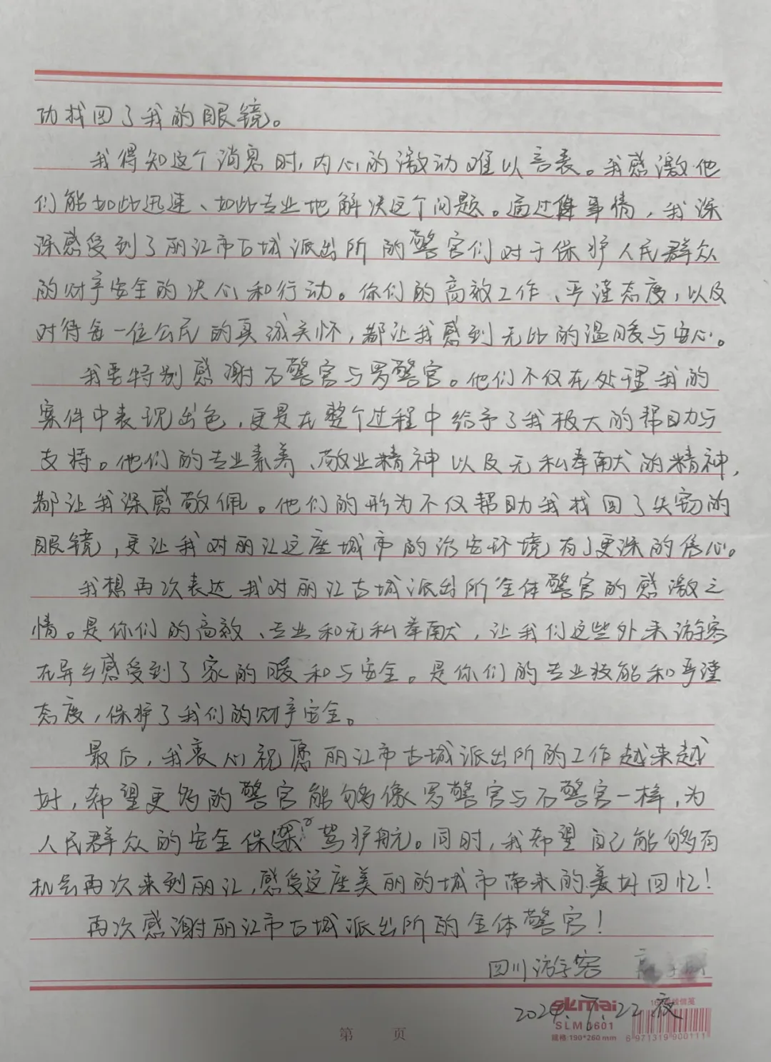
寻回失物获感谢



表达对民辅警敬业精神的赞美和感激之情
玉龙警方
小孩走失速找回
7月29日
玉龙雪山景区甘海子游客集散中心
一位小朋友与家人走散
正当家人不知所措时
巡逻民辅警已把孩子带到了他们身边

找回手机解民忧
7月22日上午
北京游客张某不慎遗失手机
民辅警寻回手机后
前往寻找张某并送还
避免了张某行程延误





