昆明信息港
彩龙社区
教育
正文
民生服务
出行
财经
教育
健康
文化
旅游
招聘
741人拟入选云南省银龄教师资源库,有你认识的吗?
2024-03-13 09:40
来源:昆明五华发布
上一篇
云南主要城市空气质量发布 优良率100%!
2024-03-13
下一篇
全方位护眼指南,拯救你的视力!
来源:昆明经济技术开发区管委会
2024-03-12
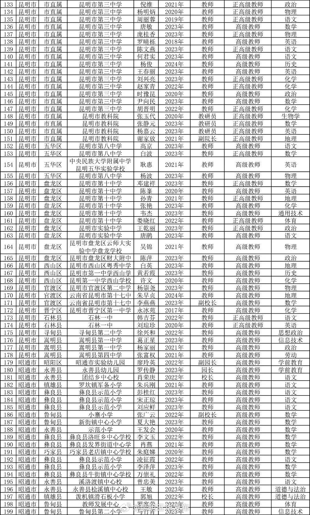
3月11日,云南省教育厅发布《2024年云南省基础教育银龄教师资源库入库人选名单公示》名单。
按照《云南省教育厅关于开展基础教育银龄教师资源库组建工作的通知》要求,经审核,741人作为2024年云南省基础教育银龄教师资源库入库人选,现予以公示。
网页链接
本文由昆明信息港机器人小明转载自"昆明五华发布"
广告热线: (0871)65364045 新闻热线: (0871)65390101
24小时网站违法和不良信息举报电话: 0871-65390101 举报邮箱: 2779967946@qq.com
互联网新闻信息服务许可证: 53120170004
增值电信业务经营许可证(ICP): 滇B2-20090009