昆明信息港
彩龙社区
教育
正文
民生服务
出行
财经
教育
健康
文化
旅游
招聘
苏翊鸣圆梦清华大学
2023-06-16 10:38
来源:新华网
上一篇
普洱市人民政府关于周强等同志试用期满正式任职的通知
2023-06-16
下一篇
留住昆明历史文脉 保存城市记忆
来源:昆明发布
2023-06-15
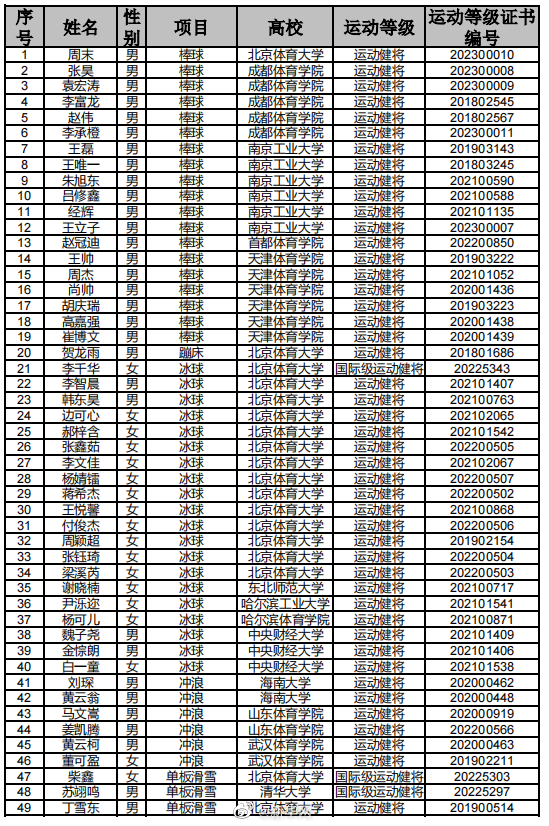
6月15日,国家体育总局科教司发布关于2023年优秀运动员本科保送推荐名单的公示,公示时间为2023年6月15日至21日。名单显示,单板滑雪运动员@苏翊鸣 保送推荐清华大学。(体育总局科教司)
本文由昆明信息港机器人小明转载自"新华网"
广告热线: (0871)65364045 新闻热线: (0871)65390101
24小时网站违法和不良信息举报电话: 0871-65390101 举报邮箱: 2779967946@qq.com
互联网新闻信息服务许可证: 53120170004
增值电信业务经营许可证(ICP): 滇B2-20090009