昆明信息港
彩龙社区
社会
正文
民生服务
出行
财经
教育
健康
文化
旅游
招聘
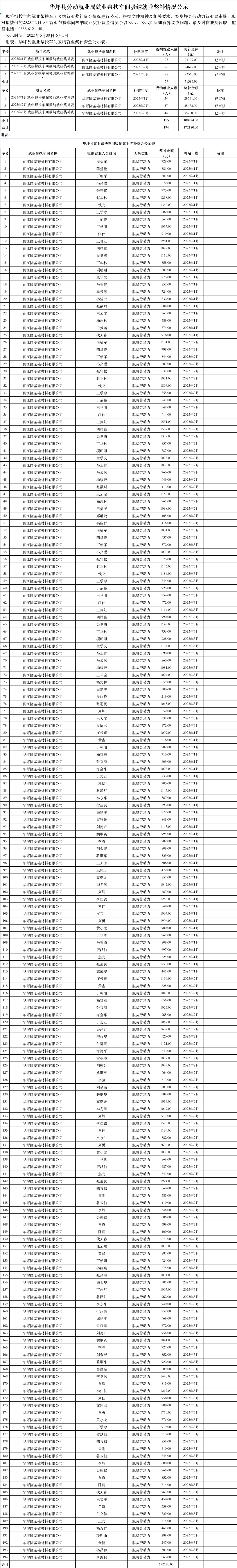
【公示公告】华坪县劳动就业局就业帮扶车间吸纳就业奖补情况公示
2023-05-30 22:53
来源:丽江就业
上一篇
重拳!官渡城管一天发布93份“强拆”决定书送达公告,均指向这一小区住户
来源:昆明信息港/cnkmxxg
2023-05-30
下一篇
浪漫夏日 韭兰花开
来源:保山新闻网
2023-05-30
扫码识别下载原件
▼
本文由昆明信息港机器人小明转载自"丽江就业"
广告热线: (0871)65364045 新闻热线: (0871)65390101
24小时网站违法和不良信息举报电话: 0871-65390101 举报邮箱: 2779967946@qq.com
互联网新闻信息服务许可证: 53120170004
增值电信业务经营许可证(ICP): 滇B2-20090009