昆明信息港
彩龙社区
社会
正文
民生服务
出行
财经
教育
健康
文化
旅游
招聘
“遇见他们是我的幸运”半年后患者再送感谢信
2023-02-03 18:55
来源:昆华之窗khzc
上一篇
多地疾控部门提醒!该病毒进入高发期
来源:云南法制报
2023-02-03
下一篇
喜迎元宵庆兔年,万条灯谜来大观
来源:昆明市西山区发布
2023-02-03
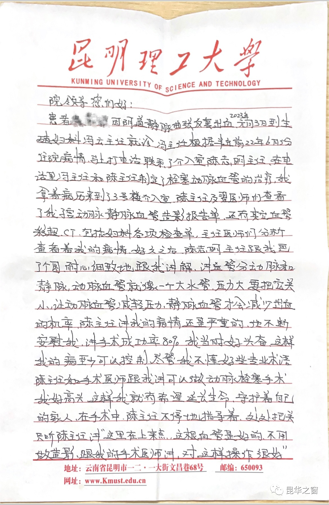
“我发自内心讲,我真的找不出一个像冯云主任这样的医生,能联合放射科陈志明医生,互相不断探索治病救人的方法,为绝望的病人排忧解难。”2月2日,肖女士(化姓)将2封感谢信送到了云南省第一人民医院(下称:省一院)。
原来,57岁的肖女士阴道静脉曲张反复出血,几年来她四处寻医,先后跑遍了昆明市各大医院,但都没有得到有效的治疗。去年6月,肖女士找到省一院生殖妇科主任医师冯云看诊,冯云联系专家为肖女士进行会诊,病情得到控制,当时肖女士就曾写下感谢信感谢医生的治疗。
今年1月,患者因新冠病毒感染转阴后不断咳嗽导致出血再次找到冯云看诊,对患者进行详细检查后,确诊病因为“双侧子宫动脉迂曲,阴道内动脉供血区域血供丰富,并可见多发增粗迂曲静脉丛。”针对患者病情,冯云和放射科主任医师陈志明制定了治疗方案,为患者进行减流治疗和栓塞治疗,手术顺利完成。住院期间,医生和护士的专业治疗和悉心照顾都让患者感到暖心和安心。肖女士表示:“遇到这么多好医生、好护士,我感到非常幸运和感谢,这种敬佑生命、甘于奉献、救死扶伤的精神也让我深深感动。”
左右滑动查看更多
左右滑动查看更多
审核/供稿:宣传科
供图:患者
编辑:宣传科
云南省第一人民医院VR智能导诊
长按识别二维码
开启VR智能导诊
云南省第一人民医院挂号方式
本文由昆明信息港机器人小明转载自"昆华之窗khzc"
广告热线: (0871)65364045 新闻热线: (0871)65390101
24小时网站违法和不良信息举报电话: 0871-65390101 举报邮箱: 2779967946@qq.com
互联网新闻信息服务许可证: 53120170004
增值电信业务经营许可证(ICP): 滇B2-20090009