昆明交警公布51名行人违法名单!
来源:昆明信息港/cnkmxxg2022-11-07
11月7日
呈贡区应对新型冠状病毒感染肺炎
疫情防控工作领导小组指挥部发布
关于紧急寻找涉疫重点场所暴露人员的通告

详情如下
👇
11月3日以来,昆明市经开区(呈贡区)洛羊街道相继检出多名阳性感染者,经排查,其中一名核酸检测结果阳性人员活动轨迹涉及呈贡区龙城街道龙城农贸市场呈贡区斌林厨具铺。鉴于当前疫情防控形势,为严防疫情传播扩散风险,现将有关事项通告如下:
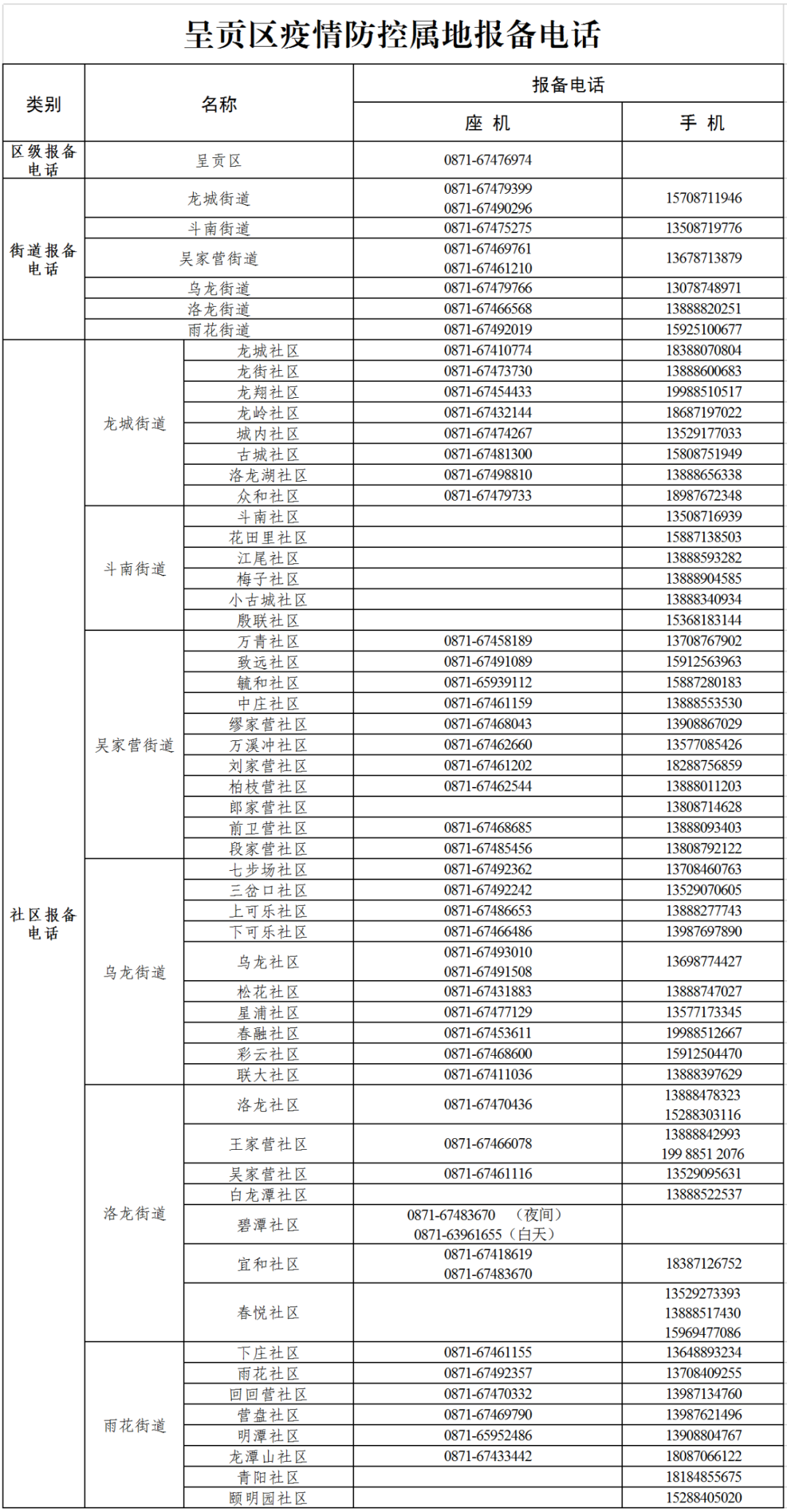
一、凡2022年11月1日至2日,到过龙城农贸市场的人员,请立即主动向所在地(社区、村)报备,积极配合落实5天居家健康监测和5天5次核酸检测措施(间隔24小时)。
二、凡2022年11月1日至2日,到过龙城农贸市场呈贡区斌林厨具铺的人员,请立即主动向所在地(社区、村)报备,接到疫情防控部门、疾控部门的电话后,积极主动配合提供相关信息,配合落实相关疫情防控措施。
三、不主动报备,隐瞒行踪,不配合相关疫情防控措施,造成疫情传播扩散的,将依法依规追究法律责任。
四、请广大市民不必恐慌,不信谣、不传谣,时刻关注疫情防控动态信息,提高个人防护意识,戴口罩、勤洗手、常通风,保持安全社交距离,支持和配合疫情防控工作。
昆明市呈贡区应对新型冠状病毒感染肺炎
疫情防控工作领导小组指挥部
2022年11月7日


●昆明市疫情防控指挥部最新通知:固定免费核酸检测点延长至11月30日
昆明信息港整理编辑
来源:呈贡发布、昆明市呈贡区应对新型冠状病毒感染肺炎疫情防控工作领导小组指挥部
和