昆明信息港
彩龙社区
丽江
社会
正文
民生服务
出行
财经
教育
健康
文化
旅游
招聘
关于紧急寻找涉疫重点场所暴露人员的通告
2022-11-07 02:24
来源:呈贡发布
上一篇
在古诗词中邂逅立冬
来源:"人民网"微博
2022-11-07
下一篇
赞!这个派出所成立了一支女子宣传小分队!
来源:云南警方
2022-11-06
11月3日以来,昆明市经开区(呈贡区)洛羊街道相继检出多名阳性感染者,经排查,其中一名核酸检测结果阳性人员活动轨迹涉及呈贡区龙城街道龙城农贸市场呈贡区斌林厨具铺。鉴于当前疫情防控形势,为严防疫情传播扩散风险,现将有关事项通告如下:
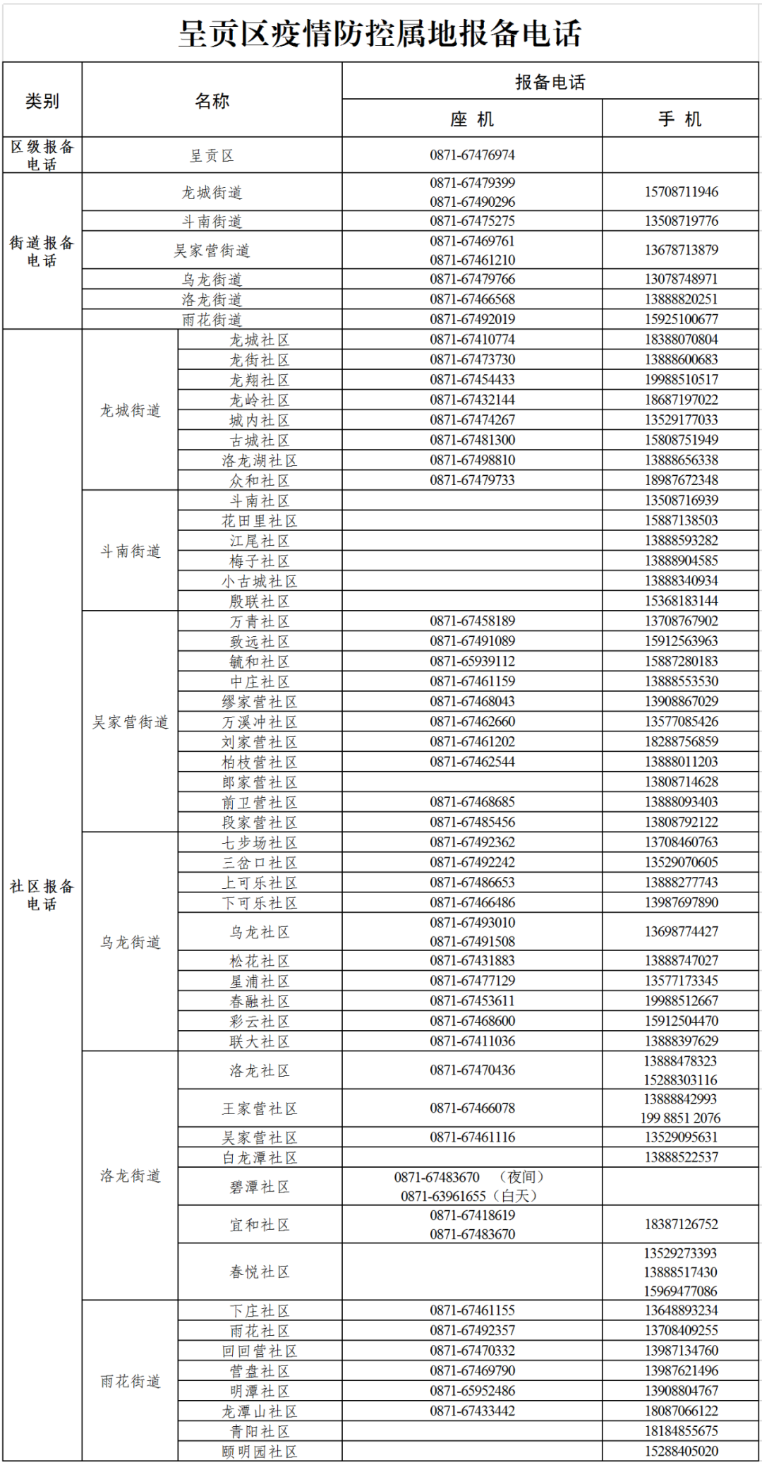
一、凡2022年11月1日至2日,到过龙城农贸市场的人员,请立即主动向所在地(社区、村)报备,积极配合落实5天居家健康监测和5天5次核酸检测措施(间隔24小时)。
二、凡2022年11月1日至2日,到过龙城农贸市场呈贡区斌林厨具铺的人员,请立即主动向所在地(社区、村)报备,接到疫情防控部门、疾控部门的电话后,积极主动配合提供相关信息,配合落实相关疫情防控措施。
三、不主动报备,隐瞒行踪,不配合相关疫情防控措施,造成疫情传播扩散的,将依法依规追究法律责任。
四、请广大市民不必恐慌,不信谣、不传谣,时刻关注疫情防控动态信息,提高个人防护意识,戴口罩、勤洗手、常通风,保持安全社交距离,支持和配合疫情防控工作。
昆明市呈贡区应对新型冠状病毒感染肺炎
疫情防控工作领导小组指挥部
2022年11月7日
来源:
昆明市呈贡区应对新型冠状病毒感染肺炎疫情防控工作领导小组指挥部
编辑排版:秦佳丽
一审:
包崇正
二审:
李学刚
三审:李琼美
本文由昆明信息港机器人小明转载自"呈贡发布"
广告热线: (0871)65364045 新闻热线: (0871)65390101
24小时网站违法和不良信息举报电话: 0871-65390101 举报邮箱: 2779967946@qq.com
互联网新闻信息服务许可证: 53120170004
增值电信业务经营许可证(ICP): 滇B2-20090009