昆明警方提醒:尽快报案!
来源:昆明信息港/cnkmxxg2022-06-27


关于推荐2021-2022学年昆明市
三好学生、优秀学生干部和先进班集体名单公示
为全面贯彻党的教育方针,落实立德树人根本任务,培育和践行社会主义核心价值观,着眼于培养担当民族复兴大任的时代新人,促进学生德智体美劳全面发展,根据《昆明市教育体育局关于评选 2021—2022学年市级三好学生优秀学生干部和先进班集体的通知》文件精神,6月15日至6月23日期间,盘龙区教育体育局开展了2021—2022学年昆明市三好学生、优秀学生干部和先进班集体评选活动。按照文件的推荐条件、推荐程序和评选办法,在个人申报、学校推荐的基础上,现将拟推荐名单进行公示,公示期为5个工作日,公示时间从2021年6月27日至7月1日。公示期间如有异议,请拨打电话向以下部门反映。
盘龙区教育体育局组织科电话:63177908
盘龙区教育体育局德育科电话:63177970
推荐2021-2022学年昆明市
三好学生名单


推荐2021-2022学年昆明市
优秀学生干部名单

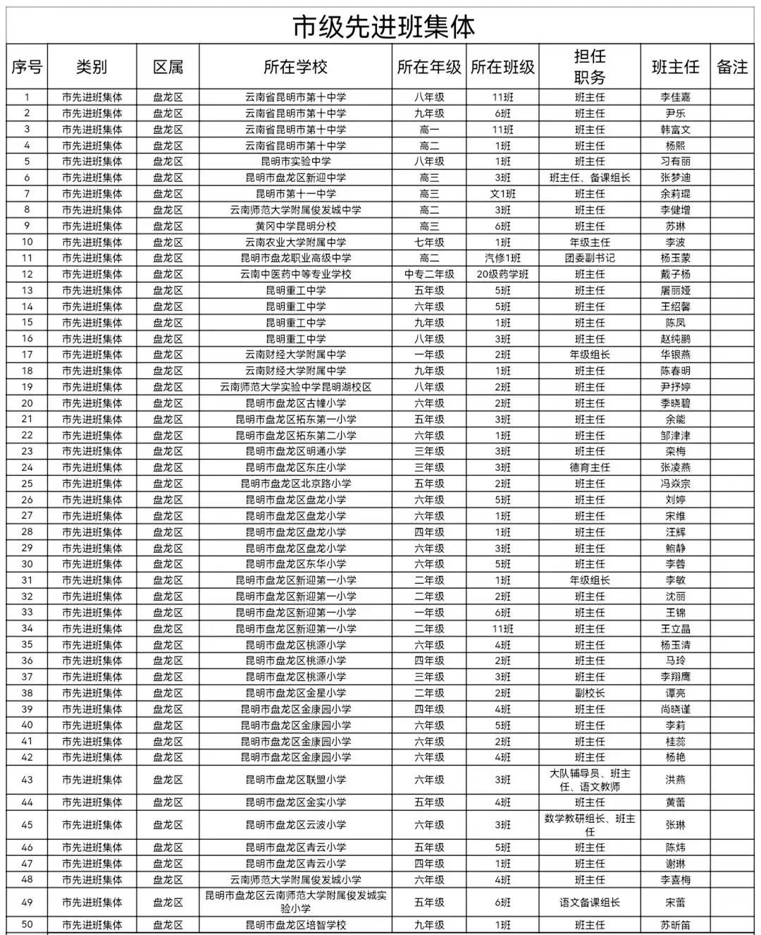
推荐2021-2022学年昆明市
先进班集体名单

昆明市盘龙区教育体育局德育科
2022年6月27日
盘龙区教育体育局
权威 速度 温度 态度