昆明信息港
彩龙社区
教育
正文
民生服务
出行
财经
教育
健康
文化
旅游
招聘
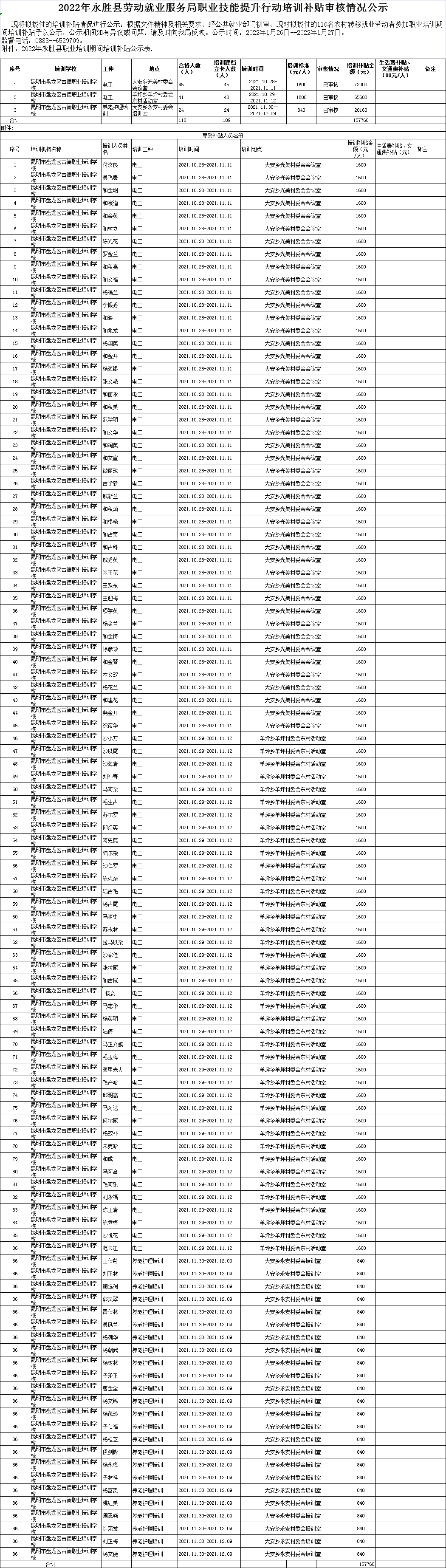
【公示公告】昆明市盘龙区古德职业培训学校补贴审核情况公示
2022-01-26 21:39
来源:丽江就业
上一篇
【公示公告】云南冶金高级技工学校补贴审核情况公示
来源:丽江就业
2022-01-26
下一篇
这笔钱不再收了!
来源:918云南交通台(微信)
2022-01-26
扫码识别下载原件
▼
本文由昆明信息港机器人小明转载自"丽江就业"
广告热线: (0871)65364045 新闻热线: (0871)65390101
24小时网站违法和不良信息举报电话: 0871-65390101 举报邮箱: 2779967946@qq.com
互联网新闻信息服务许可证: 53120170004
增值电信业务经营许可证(ICP): 滇B2-20090009