昆明信息港
彩龙社区
社会
正文
民生服务
出行
财经
教育
健康
文化
旅游
招聘
2022年1月份保山市不良交通行为曝光
2022-01-26 20:04
来源:保山新闻网
上一篇
昭通市新春创建国家卫生城市倡议书
来源:昭通日报
2022-01-26
下一篇
退役士兵免试专升本,15条干货解读!
来源:云岭先峰
2022-01-26
为加大对道路交通违法行为的高压严管态势,营造安全、畅通、有序的道路通行环境。保山公安交警持续开展“五大曝光”行动。通过舆论关注、信用惩戒、跟踪问题整改等对交通违法行为人形成震慑,督促相关企业认真落实主体责任,并进行安全措施整改,现将曝光内容公布如下:
一、突出违法车辆
01
客运车辆驾乘人员未系安全带
02
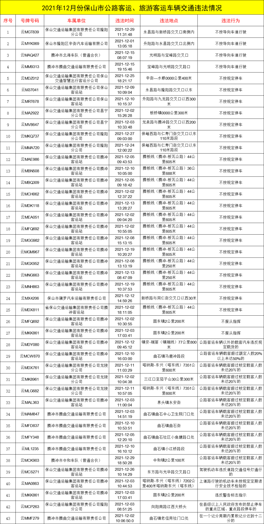
公路客运、旅游客运车辆违法
03
危化品运输车辆违法
二、典型事故案例
同乘一车,系的平安,不系的受伤
因为不系安全带会被处罚,所以大部分司机和副驾驶乘客上车时就习惯将安全带系好。然而很多后排的乘客都没有系安全带的习惯,所以同乘一辆车,发生事故后,导致的后果也截然不同。
车辆侧翻,2人无碍2人受伤
2021年12月19日,在龙陵县象达镇境内喀纳斯至东兴(喀东线)路段发生一起车辆侧翻的交通事故,车上人员不同程度受伤。民警到达现场后,立即查看驾乘人员伤势。经查,车上驾乘人员共4人,坐在前面的驾驶人和乘客都按规定使用了安全带,两人均毫发无伤。然而,车辆后排座位的两名乘客因没有按规定使用安全带,在巨大撞击下均受伤,一名乘车人左手受伤,肋骨骨折;另一名则伤到了头部和肩膀,肩甲骨骨折,同乘一车,结局截然不同。
高速肇事,3人无碍1人受伤
无独有偶,2021年12月23日,在杭瑞高速公路保龙二大队辖区发生一起小轿车单方事故,车上共驾乘4人,发生事故后只有后排座位上的一名乘客在事故中受伤。原来,在事故发生时车上其余3人都系了安全带,只有该乘客未系安全带。在巨大撞击下,该乘客前额肿起一个大包。随后,受伤乘客被送往医院检查,伤情无大碍。经查,当天驾驶人陈某驾驶一辆小轿车载3名乘客,共4人沿杭瑞高速从龙陵前往保山,因当天下了雨,雨天路面湿滑,陈某驾驶过程中操作不当后导致车辆撞上道路中央混凝土护栏,车辆车头受损严重。该事故中,驾驶人陈某负事故全部责任。
温馨提示:安全带作为一种安全保护装置,在不发生意外情况时,驾乘人员对它的作用可能没有直观强烈的感受,一旦发生事故,系与不系的差别就会立马显现。但车辆后座的乘客往往认为后排座位比前排座位安全,从而产生麻痹心理,认为后座乘客不用系安全带。事实上,发生交通事故时,车辆的碰撞角度与运动方向都是不确定的,不系安全带的后排乘客身体很容易在事故中与车厢内的其他硬物发生碰撞甚至被抛出车外,从而造成人员受伤。所以,安全带是我们乘车出行的“生命带”,乘车时无论坐在哪里,在车辆行驶过程中都要按规定使用。
三、事故多发路段
(一)
杭瑞高速公路K2741至K2742(双向)
,
隆阳区辛街乡大官市村范围内高速公路村民上高速公路行走、非机动车上高速公路情况时有发生,由此引发多起交通事故;
(二)杭瑞高速公路k2746至k2752(双向),
冬季、春季雨后或是下雨时多有团雾发生,能见度有时低于五米,无提示牌、发光、引导标志,极易引发交通事故;
(三)杭瑞高速公路K2738+700m,
周边村民横穿高速公路到自家山地干活给行车安全带来极大隐患,路过此路段要减速慢行注意观察;
(四)杭瑞高速公路k2746至2752(双向),
冬季、春季雨后或是下雨时多有团雾发生,能见度有时低于五米,遇有恶劣天气应谨慎慢行;
(五)G357国道(东山-泸水)3479+300处,
该路段处于长下坡、急弯路段,车速过快容易造成车辆侧翻;
(六)G357国道(东山-泸水)K3420+10M处,
急弯路段、交通事故易发、多发,存在重大的交通安全隐患;
(七)G357国道(东山-泸水)K3420+10M-K3420+100M处,
急弯路段,由于运输石材车辆较多,行车过程中注意避让;
(八)S234省道K146+800处,
该路段为边坡落石路段,行车注意观察避让;
(九)S228省道K2+0M至K2+900M处,
该路段视线不佳,行车注意减速、注意观察。
四、高危风险运输企业
2021年12月,全市共查处“两客一危”车辆交通违法1272起,同比上升250.41%,环比上升196.5%。其中,公路客运车辆1265起,同比上升290.43%,环比上升207.04%;旅游客运车辆0起;危化品运输车辆7起,同比下降73.08%,环比上升133.33%。
2021年12月交通违法5起以上运输企业名单:
(一)保山交通运输集团有限责任公司腾冲客运站525起。
(二)保山交通运输集团有限责任公司隆阳分公司173起。
(三)保山交通运输集团有限责任公司保山客运站102起。
(四)保山交通运输集团有限责任公司昌宁分公司82起。
(五)腾冲市荷花微型车队57起。
(六)保山市蒲罗汽车运输有限责任公司51起。
(七)保山交通运输集团有限责任公司腾冲旅游汽车客运站47起。
(八)保山交通运输集团有限责任公司施甸分公司46起。
(九)腾冲市中和车队34起。
(十)保山交通运输集团有限责任公司保山高快客运分公司30起。
(十一)保山市隆阳区辛街汽车运输有限公司28起。
(十二)保山交通运输集团有限责任公司22起。
(十三)腾冲市腾曲交通运输有限责任公司20起。
(十四)保山交通运输集团有限责任公司龙陵分公司18起。
(十五)保山交通运输集团有限责任公司保山交通智慧出行客运分公司12起。
(十六)保山交通运输集团有限责任公司腾冲客运总站11起。
(十七)保山交通运输集团有限责任公司危险化学品运输分公司5起。
五、终生禁驾名单
2021年12月份保山市终生禁驾人员名单,共计2人。
来源:畅行保山365
来源:***
完
编辑:姜永华
责任编辑:杨清宗
关于保山新闻网
该微信由中共保山市委宣传部保山新闻网管理,保山新闻网是保山市委市政府管理的第四媒体。关注本账号您将能及时收到保山的新闻资讯。版权所有,转载请注明出处!
保山新闻网联系信息
电话:0875-2135020
QQ:3049779830
(微
信同号)
投稿邮箱:wx@bsxw.cn
本文由昆明信息港机器人小明转载自"保山新闻网"
广告热线: (0871)65364045 新闻热线: (0871)65390101
24小时网站违法和不良信息举报电话: 0871-65390101 举报邮箱: 2779967946@qq.com
互联网新闻信息服务许可证: 53120170004
增值电信业务经营许可证(ICP): 滇B2-20090009